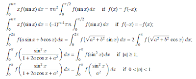
Bazı İntegral Formülleri tarih: Nisan 08, 2009 Bağlantıyı al Facebook X Pinterest E-posta Diğer Uygulamalar İşinize yarayacağını düşündüğüm bazı integral formüllerini aşağıda bulabilirsiniz.Bazen uzun uzun işlemlerle uğraşmaktansa bu tip tablolar işe yarayabiliyor. Yorumlar
Yorumlar
Yorum Gönder
yorumlarınızın okunduğuna emin olun:) Erhan DUMAN